Blog
Serii De Numere Reale
livington low fat grill review
legea 36 din 1995
lg k4 2017 black
locuri de munca cluj gov
literele alfabetului fise de lucru clasa pregatitoare litere
lighioane cu opt picioare
lista locatii vouchere de vacanta 2019
leroy merlin satu mare
Analiza Matematica
Serii Numerice
Analiza Matematica
Serii De Numere Reale
Serii De Numere Reale
Serii De Numere Reale
Mate Cu Matei Serii De Numere Reale
Analiza Matematica
Tema 1 Exercitii Rezolvate
Analiza Matematica
Mate Cu Matei Serii De Numere Reale
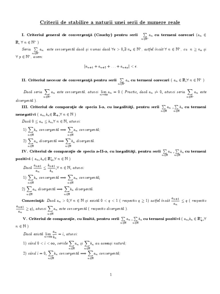
Criterii De Stabilire A Naturii Unei Serii De Numere Reale N2n N N
Mate Cu Matei Serii De Numere Reale
Curs Analiza Matematica 343303 Graduo
Mate Cu Matei Serii De Numere Reale
Serii De Numere Reale
Serii De Numere Reale
2
Analiza Matematica
Sinteza Serii Note De Curs 2 Analiză Matematică 1 Studocu
Source :
pinterest.com
Random Posts
Seminte De In Macinate Administrare
Sanie Cu Zurgalai Versuri
Saptamana 17 De Sarcina Ecografie
Seriale Turcesti Kanal D Vechi
Scoala Nr 10 Satu Mare
Saptamana 17 De Sarcina
Scrisoarea A 3 A Parodie
Schimbarea Orei De Vara 2017
Ser Fiziologic Sau Clorura De Sodiu
Scrisoare De Recomandare Model Pentru Facultate
Scoala De Soferi Cutie Automata Cluj
Scaun Bicicleta Copii Fata Decathlon
Scrisoare Cu Continut Declarat Posta Romana
Se Vede Din Departare
Scoala De Soferi Cu Cutie Automata
Scrisoare De Intentie Asistent Medical
Se Poate Dormi Cu Proteza Dentara
Scrisoare In Engleza Formala
Semnele Vremurilor Mai 2019
Serbare Sfarsit De An Grupa Mijlocie